Academic Output
NERD Programme

National Student Publication Database (Thesis, Projects, Dissertations, etc.)

Thumbnail
Bacteria Associated With Plastic Debris in Water Bodies in Maiduguri Metropolitan, Borno State.

Student: Aliyu Habu Birji (Project, 2025)
Supervisor: Prof S.p Madaka
Co-supervisor: Dr Musa Ibrahim
HOD: Prof S.p Madakan
Department of Biology
University of Maiduguri, Borno State

View Submission
Thumbnail
Design and Implementation of a Low Power Wireless Sensor Node for Internet of Things (Iot) Applications

Student: Onisokien Philip Ezekiel (Project, 2025)
Supervisor: Engr Friday Philip-kpae
Co-supervisor: Engr Friday Philip-kpae
HOD: Engr Emmanuel Obuah
Department of Electrical /Electronics Engineering
RIVERS STATE UNIVERSITY, PORT HARCOURT, RIVERS STATE

View Submission
Thumbnail
Impact of Cashless Policy on Micro and Nano Businesses in Osun State Ajoloko, Kehinde Christianah 22 / Bam/ 2785 a Research Project Submitted to Department of Business Administration and Management Faculty of Management Studies Osun State Polytechnic.

Student: Kehinde christianah Ajoloko (Project, 2025)
Supervisor: Dr Ola Ogunleye
Co-supervisor: Mr Joshua Abass
HOD: Mrs Bosede Olaoye
Department of Business Administration
Osun State Polytechnic, Iree, Osun State

View Submission
Thumbnail
Role of Women in Domestic Water Management in Damaturu Town Yobe State, Nigeria

Student: Abdulwahab Abdullahi Ali (Project, 2025)
Department of Geography
Yobe State University, Damaturu, Yobe State

View Submission
Thumbnail
Assessment of Anti-Cult Unit Operatives in Chukwuemeka Odumegwu Ojukwuuniversity: A Public Perception of Residents of Igbariam Campus  

Student: Stanley Chukwuma Ezeaniekwe (Project, 2025)
Supervisor: Dr Ngozi Udoye
Co-supervisor: Dr Ngozi Udoye
HOD: Dr Ngozi Udoye
Department of Criminology
Chukwuemeka Odumegwu Ojukwu University, Uli, Anambra State

View Submission
Thumbnail
Teachers Perception of Entrepreneurship Education Curriculum and Its Implications for Implementation in Public Senior Secondary Schools in Obio Akpor Local Government Area of Rivers State

Student: Anthonia Chidimma Anisolu (Project, 2025)
Supervisor: Dr Lucky Nziadam
Co-supervisor: Dr Lucky Nziadam
HOD: Prof Yusuf Abdulrahman
Department of Educational Foundations
University of Port-Harcourt, Rivers State

View Submission
Thumbnail
Impact of the Ekiti Parapo War on Ado Ekiti, 1800-1900

Student: Faith Favour Azeez (Project, 2025)
Supervisor: Dr Emah Stephen
Co-supervisor: Dr Bolanle Asiyanbi
HOD: Dr Osadola Oluwaseun
Department of History and International Studies
Federal University Oye-Ekiti, Ekiti State

View Submission
Thumbnail
Organisational Climate and Employee Job Satisfaction (a Study of Beta Glass Plc, Ughelli)

Student: AMINU OMOAKA (Project, 2025)
Supervisor: Mrs Evelyn Ahanmisi
Co-supervisor: Mrs Evelyn Ahanmisi
HOD: Dr Vincent Mammud
Department of Business Administration and Management
Auchi Polytechnic, Auchi, Edo State

View Submission
Thumbnail
An Appraisal of Motivation on Productivity and Job Performance of Employees in the Banking Industry (a Case Study of Polaris Bank Ede)

Student: Damola Opeoluwa Omotosho (Project, 2025)
Department of Banking and Finance
Federal Polytechnic, Ede, Osun State

View Submission
Thumbnail
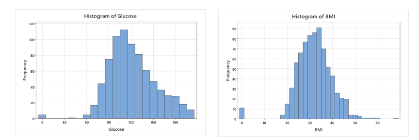
Statistical Analysis of Factors Affecting Diabetic Patients

Student: Jephthah Chizenum Nnah (Project, 2025)
Supervisor: Prof Iberedem Iwok
Co-supervisor: Mr Confidence Onwuegbusi
HOD: Prof Bazuaye Etin-osa
Department of Mathematics and Statistics
University of Port-Harcourt, Rivers State

View Submission
Thumbnail
Reproductive Hormones Profile of Layer Hens Exposed to Graded Concentrations of Ginger Extract in Drinking Water

Student: Eniola Esther Adebayo (Project, 2025)
Supervisor: Mr Adebolu Adeusi
Co-supervisor: Mr Adebolu Adeusi
HOD: Prof Samuel Fajemilehin
Department of Animal Science
Ekiti State University, Ado-Ekiti, Ekiti State

View Submission
Thumbnail
The Antimicrobial Efficacy of Guava and Orange Stem Extract Against Streptococcus Mutans and Candida Albicans

Student: ABIDEMI OLUWASEUN OLAWOYIN (Project, 2025)
Supervisor: Mr Momoh Emmanuel
Co-supervisor: Mr Momoh Emmanuel
HOD: Mr Momoh Emmanuel
Department of Microbiology
Auchi Polytechnic, Auchi, Edo State

View Submission
Thumbnail
Socio- Demographic Factors and Life Orientation As Predictors of Suicidal Ideation, Case Study of Undergraduate of Olabisi Onabanjo University

Student: Rodiat Adewunmi Lawal (Project, 2025)
Supervisor: Dr Addah Tamuno- opubo
Co-supervisor: Dr Addah Tamuno-opubo
HOD: Dr Essien Akpan
Department of Psychology
Olabisi Onabanjo University, Ago-Iwoye, Ogun State

View Submission
Thumbnail
Effect of Internal Control on Financial Accountability of Nigeria Public Sector

Student: Justina ABIONA Stephen (Project, 2025)
Supervisor: Mrs Faith Oyinlola
Co-supervisor: Mrs Faith Oyinlola
HOD: Mrs Oluwafolakemi Fasesin
Department of Accountancy
Osun State Polytechnic, Iree, Osun State

View Submission
Thumbnail
Influence of Parental Involvement on Academic Performance of Senior Secondary School Students in Kumbotso Local Government Area of Kano State

Student: Adam Adam Abdulrahman (Project, 2025)
Supervisor: Mr Ummaru Yusha'u
Co-supervisor: Mr Ummaru Yusha'u
HOD: Dr Muhammad Adamu
Department of Economics Education
Bayero University, Kano, Kano State

View Submission
Thumbnail
Social Media and Political Participation Among Students of Akwa Ibom State Polytechnic

Student: Faith Gabriel Eni (Project, 2025)
Department of Mass Communication
AKWA-IBOM STATE POLYTECHNIC (IEI), IKOT-OSURUA, AKWA IBOM STATE

View Submission
Thumbnail
Effect of Regular Conduct of Physics Practicals on Students Achievement in Physics

Student: Precious Dafenone Aghighor (Project, 2025)
Supervisor: Prof Ajaja Partrick
Co-supervisor: Dr Null Null
HOD: Dr Ijeh Bomboi
Department of Physics Education
Delta State University, Abraka, Delta State

View Submission
Thumbnail
Involvement of Resident Doctors in Research: Trainers Perspectives and Roles at Obafemi Awolowo University Teaching Hospital Complex Ile-Ife.

Student: Ifeoluwa Ruth Atobatele (Project, 2025)
Supervisor: Dr Oluwaseun Esan
Co-supervisor: Dr Nil Nil
HOD: Prof Macellina Ijadunola
Department of Medicine and Surgery
Obafemi Awolowo University, Ile-Ife, Osun State

View Submission
Thumbnail
The Impact of Merger and Acquisition on Effcetive Service Delivery of Money Deposit Banks (a Case Study of Access Bank)

Student: Maimuna Mustapha Shafiu (Project, 2025)
Supervisor: Dr Haladu Utai
Co-supervisor: Dr Umar Utai
HOD: Dr Aminu Haruna
Department of Banking and Finance
Kano State Polytechnic, Kano, Kano State

View Submission
Thumbnail
Evaluation of the Effect of Bryopiiyllum Pinnatum on Oxidative Stress Biomakers and Cognitive Impairment in Albino Rats

Student: Anslem Ugochukwu Adonu (Project, 2025)
Supervisor: Dr Joshua Isirima
Co-supervisor: Dr Nil Nil
HOD: Dr Joshua Isirima
Department of Biomedical Technology
University of Port-Harcourt, Rivers State

View Submission