Academic Output
NERD Programme

National Student Publication Database (Thesis, Projects, Dissertations, etc.)

Thumbnail
Relationship Between Nutritional Status and Blood Group B Among Female Students of Biochemistry Department in Bayero University Kano

Student: Khadijah Sheshe Muhammad (Project, 2025)
Department of Biochemistry
Bayero University, Kano, Kano State

View Submission
Thumbnail
Bacterial Load and Quality Evaluation of Street Vended Soya Beans Curd (Awara) in Birnin Kebbi/kalgo Metropolis

Student: fatima binta jibril (Thesis, 2025)
Department of Biochemistry and Molecular Biology
Federal University, Birnin-Kebbi, Kebbi State

View Submission
Thumbnail
Incorporating Mural Motifs from a School Wall Painting for the Enhancement of an Office Curtain Design

Student: Samuel Oluwaseun Francis (Project, 2025)
Supervisor: Mrs Jane Nwaopara
Co-supervisor: Mrs
HOD: Dr Hakeem Adeyemo
Department of Industrial Design
Yaba College of Technology, Yaba, Lagos State

View Submission
Thumbnail
Fecundity and Length Weight Relationship of Schilbe Mystus (African Butter Catfish) in Mai Ruwa Dam Funtua Katsina

Student: UMAR LAWAL Abdullahi (Project, 2025)
Supervisor: Dr Taofik Babatunde
Co-supervisor: Mr Muhammad Ma'aruf
HOD: Dr Umar Lawal
Department of Biology
Umaru Musa Yaradua University, Katsina, Katsina State

View Submission
Thumbnail
Relationship Between Nutritional Status and Blood Group B Among Female Students of Biochemistry Department in Bayero University Kano

Student: Khadijah Sheshe Muhammad (Project, 2025)
Department of Biochemistry
Bayero University, Kano, Kano State

View Submission
Thumbnail
Relationship Between Nutritional Status and Blood Group B Among Female Students of Biochemistry Department in Bayero University Kano

Student: Khadijah Sheshe Muhammad (Project, 2025)
Department of Biochemistry
Bayero University, Kano, Kano State

View Submission
Thumbnail
Mobile Based Road User Caution System

Student: Andrew Ekle Edache (Project, 2025)
Supervisor: Mr John Okonkwo
Co-supervisor: Dr Deba Aliyu
HOD: Mr Kuliya Muhammad
Department of Computer Science
Federal Polytechnic, Bauchi, Bauchi State

View Submission
Thumbnail
Response of Bambara Nut (Vigna Subterranean.) Varieties to Phosphorus Fertilizer in Savannah Region of Nigeria

Student: Aisha Abdulrahaman Muhammad (Project, 2025)
Supervisor: Mr Hamisu Ahmad
Co-supervisor: Dr Suraja Ali
HOD: Mr Ahmad Abubakar
Department of Agricultural Technology
Binyaminu Usman Polytechnic, Hadijia, Jigawa State

View Submission
Thumbnail
Ethical Evaluation of Sartres' Concept of Freedom

Student: FearGod Chinedu Ikechukwu (Project, 2025)
Supervisor: Dr Francis Ekwueme
Co-supervisor: Dr Okoye Miriam
HOD: Prof Nicholas Asogwa
Department of Philosophy
University of Nigeria, Nsukka, Enugu State

View Submission
Thumbnail
Relationship Between Nutritional Status and Blood Group B Among Female Students of Biochemistry Department in Bayero University Kano

Student: Khadijah Sheshe Muhammad (Project, 2025)
Department of Biochemistry
Bayero University, Kano, Kano State

View Submission
Thumbnail
Evaluation of Phytochemicals, Bioactive Compounds, and Therapeutic Usage of Avocado Plant Seed

Student: PRECIOUS FUMIBI OLOFIN (Project, 2025)
Department of Microbiology
Bamidele Olumilua University of Edu. Science and Tech. Ikere Ekiti, Ekiti State

View Submission
Thumbnail
Performance of Chilli Pepper to Integrated Fertilizer Rate and Irrigation Interval in Sudan Savanna

Student: Aaron Fali Philemon (Project, 2025)
Supervisor: Dr Ibrahim Lassa
Co-supervisor: Dr Ibrahim Aliyu
HOD: Dr Ibrahim Aliyu
Department of Crop Production
University of Maiduguri, Borno State

View Submission
Thumbnail
Effect of Job Stress on Employees Turnover Amony Junior Staff in Ekiti State University, Ado-Ekiti.

Student: Martha Oluwaseyi Tussen (Project, 2025)
Supervisor: Dr S Sadamoro
Co-supervisor: Dr S Sadamoro
HOD: Dr C Ogundipe
Department of Business Administration
Ekiti State University, Ado-Ekiti, Ekiti State

View Submission
Thumbnail
Relationship Between Nutritional Status and Blood Group B Among Female Students of Biochemistry Department in Bayero University Kano

Student: Khadijah Sheshe Muhammad (Project, 2025)
Department of Biochemistry
Bayero University, Kano, Kano State

View Submission
Thumbnail
Relationship Between Nutritional Status and Blood Group B Among Female Students of Biochemistry Department in Bayero University Kano

Student: Khadijah Sheshe Muhammad (Project, 2025)
Department of Biochemistry
Bayero University, Kano, Kano State

View Submission
Thumbnail
Relationship Between Nutritional Status and Blood Group B Among Female Students of Biochemistry Department in Bayero University Kano

Student: Khadijah Sheshe Muhammad (Project, 2025)
Department of Biochemistry
Bayero University, Kano, Kano State

View Submission
Thumbnail
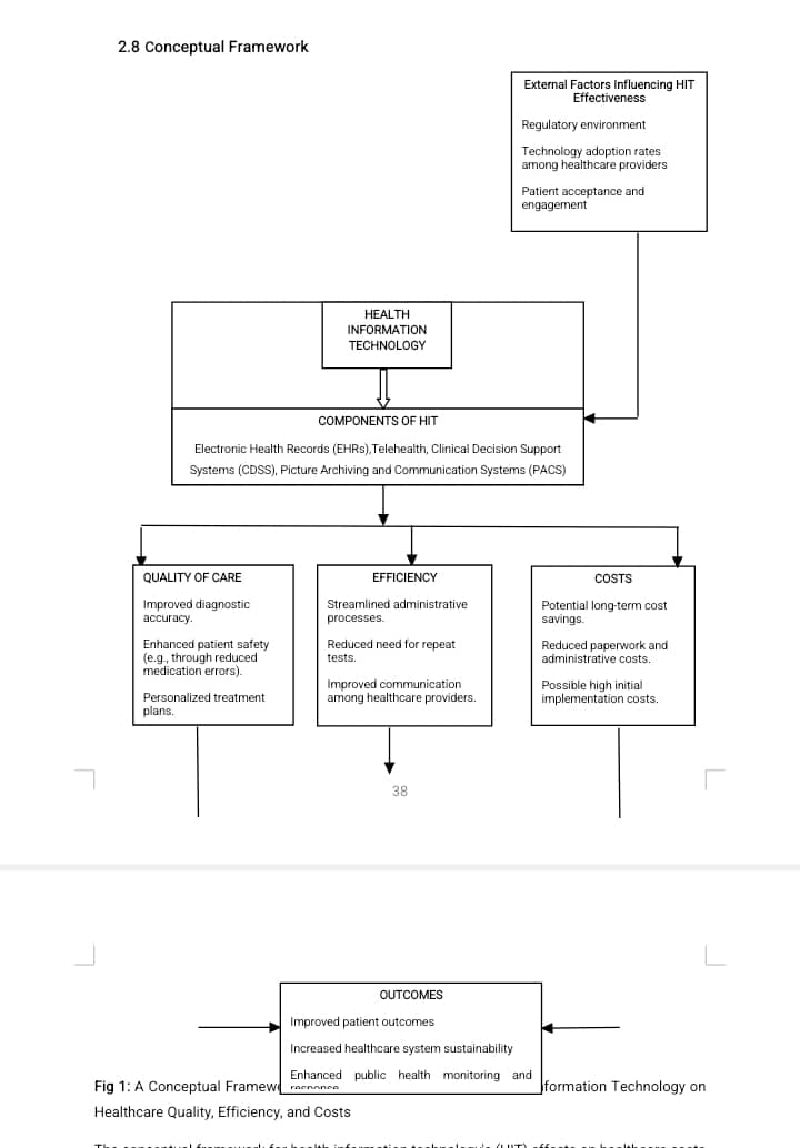
Impact of Health Information Technology on Quality, Efficiency, and Costs of Medical Care at Federal Medical Center, Owo, Ondo State.

Student: Oluwanifesimi Esther Kolawole (Project, 2025)
Supervisor: Prof Olukemi Awoyelu
Co-supervisor: Prof Olukemi Awoyelu
HOD: Mr Sunday Omokanye
Department of Health Information Management
School of Health Information Mgt, Oau Teaching Hospital, Ile-Ife, Osun State

View Submission
Thumbnail
Mobile Based Road User Caution System

Student: Andrew Ekle Edache (Project, 2025)
Department of Computer Science
Federal Polytechnic, Bauchi, Bauchi State

View Submission
Thumbnail
Design and Production of Hydro-Kinetic Turbines for Streams. A Case Study of Ibagwa River, Akwa-Ibom State, Nigeria

Student: Samuel Edet Bassey (Project, 2025)
Supervisor: Dr Aniekan Okon
Co-supervisor: Dr Aniekan Okon
HOD: Dr Idorenyin Markson
Department of Mechanical Engineering
University of Uyo, Akwa Ibom State

View Submission
Thumbnail
Ethical Evaluation of Sartre's Concept of Freedom

Student: FearGod Chinedu Ikechukwu (Project, 2025)
Department of Philosophy
University of Nigeria, Nsukka, Enugu State

View Submission