Academic Output
NERD Programme

National Student Publication Database (Thesis, Projects, Dissertations, etc.)

Thumbnail
Design and Implementation of Cloud Based File Handling and Duplicates Removal Using Md5

Student: Hawau Ibrahim (Project, 2025)
Department of Computer Education
Ahmadu Bello University, Zaria, Kaduna State

View Submission
Thumbnail
Environmental Social Governance (Esg) Disclosure and Financial Reporting Quality on Companies Listed in the Nigerian Exchange Group

Student: Deborah Onofue Kadiri (Project, 2025)
Supervisor: Dr Ernest Oshodin
Co-supervisor: Dr Godstime Ikhu-omoregbe
HOD: Dr Osasu Obaretin
Department of Accounting
University of Benin, Benin City, Edo State

View Submission
Thumbnail
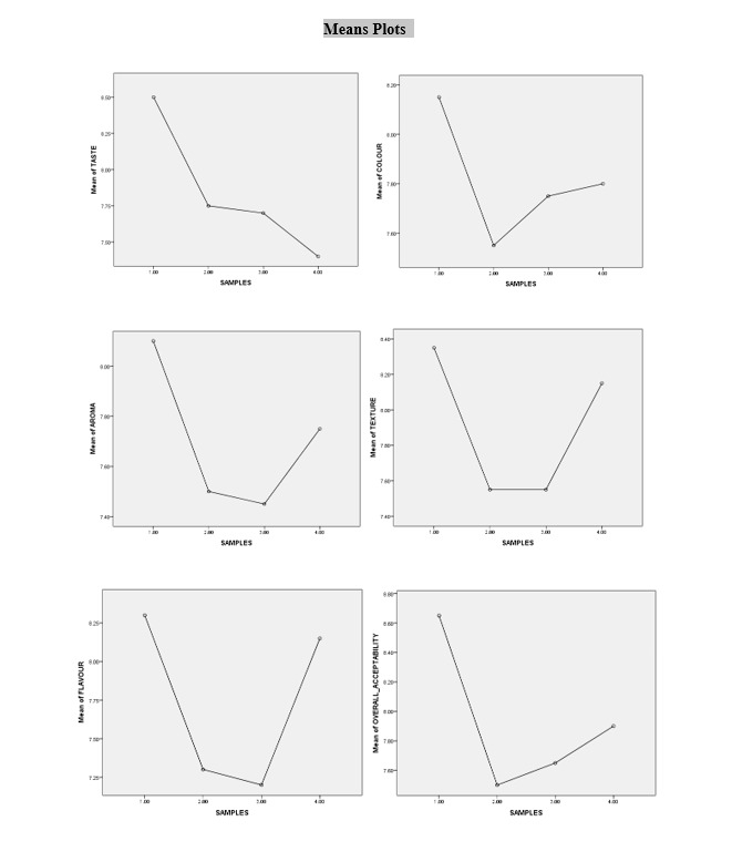
Production and Quality Evaluation of Galactogogue Cake Made from Wheat Flour, Guna Seed, Soy Beans, Tigernut, Dates Flour and Garden Cress Powder

Student: Khadija Tahir (Project, 2025)
Supervisor: Mrs Omolola Ajila
Co-supervisor: Dr Awogbenja Makanjuola
HOD: Dr Safiya Tijani
Department of Nutrition and Dietetics
Kaduna Polytechnic, Kaduna

View Submission
Thumbnail
A Feminist Critique of Patriarchal Violence and Resilience in Adaobi Tricia Nwabauni's I Do Not Come to You by Chance and Lola Shoneyin's the Secret Lives of Baba Segi's Wives.

Student: Hadiza Rufai Umar (Project, 2025)
Department of English and Literary Studies
Ahmadu Bello University, Zaria, Kaduna State

View Submission
Thumbnail
Assessment of the Impact of Rural Roads Construction/rehabilitation on the Livelihood of the People of Yala Local Government Area

Student: Cynthia Ndihigbolowo Edrah (Project, 2025)
Department of Urban and Regional Planning
Cross Rivers University of Technology, Calabar, Cross Rivers State

View Submission
Thumbnail
The Impact of 5g Technology on Customer’s Patronage in Mtn Telecommunications in the University of Ilorin

Student: Rofiat Oyindamola Olowookere (Project, 2025)
Supervisor: Dr Mulikat Abdulraheem
Co-supervisor: Mr Abdulmajeed Jatto
HOD: Dr Kamaldeen Bello
Department of Marketing
University of Ilorin, Kwara State

View Submission
Thumbnail
Assessment of Students’ Attitude, Interest and Motivation Towards Learning Biology in Science Secondary Schools of Kano Metropolis, Nigeria.

Student: safiyya Salihu Murtala (Project, 2025)
Supervisor: Dr Victor Tubosun
Co-supervisor: Dr Victor Tubosun
HOD: Dr Rahinatu Ibrahim
Department of Science Education
Northwest University, Kano, Kano State

View Submission
Thumbnail
The Impact of Industrial Output on the Economy Growth in Nigeria

Student: Elijah Buba Bulus (Project, 2025)
Department of Economics
Gombe State University, Tudun Wada, Gombe, Gombe State

View Submission
Thumbnail
Forensic Investigation and White Collar Crimes in Nigeria a Case Study of Independent Corrupt Practice Commission and Other Related Offenses Commissions

Student: Oyinkansola Bright Osaloni (Project, 2025)
Department of Accounting and Finance
Elizade University, Ilara-Mokin, Ondo State

View Submission
Thumbnail
Determination of Physicochemical Parameters in Selected Wash Borehole from Gwange and Maisandari Wards

Student: Sa'eed Muhammad Haliru (Project, 2025)
Department of Pure and Applied Chemistry
University of Maiduguri, Borno State

View Submission
Thumbnail
The Role of Intergovernmental Relations in the Effectiveness of Local Government Administration in Nigeria (a Case Study of Etsako West Local Government Area, Edo State Nigeria).

Student: Joshua Izegaegbe (Project, 2025)
Supervisor: Mrs Aisha Alhassan
Co-supervisor: Dr Otti Uzoma
HOD: Dr Segun Joseph
Department of Public Administration
Auchi Polytechnic, Auchi, Edo State

View Submission
Thumbnail
Phytoremediation of Carbonated Drink Industrial Effluent Using Chlorella Vulgaris

Student: Abdulmalik Itopa Aliyu (Project, 2025)
Supervisor: Dr Mallamma halima Mamman
Co-supervisor: Dr Mallamma halima Mamman
HOD: Prof Nuradeen Abdullahi
Department of Applied Biology
Bayero University, Kano, Kano State

View Submission
Thumbnail
A Study of Some Coagulation Biomarkers of Sickle Cell Disease Patients Attending State Specialist Hospital Maiduguri Borno State

Student: Luqman Ibrahim Saleh (Project, 2025)
Department of Medical Laboratory Science
University of Maiduguri, Borno State

View Submission
Thumbnail
Bactericidal Effect of the Mixture of Zingiber Officinale and Xylopia Athiopica Extract Against Salmonella Enterica Serovar Typhi

Student: Chinecherem Prudentia Okonkwo (Project, 2025)
Supervisor: Dr Patricia Egbe
Co-supervisor: Dr Patricia Egbe
HOD: Dr Ikechukwu Iheukwumere
Department of Microbiology
Chukwuemeka Odumegwu Ojukwu University, Uli, Anambra State

View Submission
Thumbnail
The Assessment of Youth Participation in Politics and Governance: An Analysis of the Not Too Young to Run Policy

Student: Joy Dombin (Project, 2025)
Supervisor: Dr Nuru Umar
Co-supervisor: Dr Nuru Umar
HOD: Dr Nuru Umar
Department of Economics/Political Science
Bauchi State University, Gadau, Bauchi State

View Submission
Thumbnail
The Impact of International Trade on Sustainable Development in Nigeria

Student: Kelechi Princess Nnamdi (Thesis, 2025)
Department of Economics
University of Uyo, Akwa Ibom State

View Submission
Thumbnail
Onitsha Main Market and the Development of Onitsha North Lga, Anambra State, 1984-2001

Student: NNEKA Marycynthia Madubueze (Project, 2025)
Department of History and Strategic Studies
Alex Ekwueme Federal University, Ndufu-Alike, Ebonyi State

View Submission
Thumbnail
The Role of Intergovernmental Relations in the Effectiveness of Local Government Administration in Nigeria (a Case Study of Etsako West Local Government Area, Edo State)

Student: CYNTHIA EBHOLORIA (Project, 2025)
Supervisor: Mrs Aisha Alhassan
Co-supervisor: Mr
HOD: Dr Otti Uzoma
Department of Microbiology
Auchi Polytechnic, Auchi, Edo State

View Submission
Thumbnail
Time Management and Employee Commitment in University of Ilorin Teaching Hospital (Uith), Ilorin

Student: Omolola Anulowapo Okeowo (Project, 2025)
Supervisor: Dr Aremu Salihu
Co-supervisor: Dr Aremu Salihu
HOD: Dr Abiodun Abogunrin
Department of Industrial Relations and Personnel Management
University of Ilorin, Kwara State

View Submission
Thumbnail
Antimicrobial Activities of Ocimum Gratissimum L. Against the Fungi Isolated from Spoilt Solanum Lycopersicum L.

Student: Efe Ogbemudia (Project, 2025)
Supervisor: Prof Francisca Okungbowa
Co-supervisor: Prof Francisca Okungbowa
HOD: Prof Emuejevoke Vwioko
Department of Plant Biology and Biotechnology
University of Benin, Benin City, Edo State

View Submission